晶體晶振老化和哪些變化及效應有關?
來源:http://www.dkfv.cn 作者:金洛鑫電子 2019年03月05
我們都知道晶振一不小心是很容易老化的,之前給大家介紹過外在導致晶體晶振老化因素,那么今天就給大家說下“內在”的原因的有那些。”內在”問題主要是因為技術和加工方式,大致體現于擴散效應、石英的變化、應變和應力,電路老化,其他老化等問題,下面金洛鑫電子會為大家詳細的解說。
石英的變化:
由于應力或其他原因導致的石英變化可能導致老化,盡管在文獻中沒有關于這種變化的報告(在正常溫度和壓力下)。預計完美的石英不會隨時間變化(根據定義)??赡馨l生變化的缺陷包括表面和點缺陷,位錯,雜質,夾雜物和孿晶。表面缺陷,例如通過研磨產生的微裂紋,可以隨時間變化,然而,通過在機械處理之后適當地蝕刻表面,可以大大減少變化的可能性。
由于應力引起的位錯運動不太可能是典型工作溫度下老化的一個因素,盡管位錯運動可能在高溫和高壓下發生。即使在通常遠遠超過Oscillator正常工作溫度的掃描實驗中,也沒有報告過位錯運動的證據。退火由于中子輻射引起的石英損壞所需的能量可能是移動位錯所需能量的線索。當用快中子照射石英時,發生位移損壞。在高劑量下,石英逐漸變成無定形形式的無序狀態。對中子受損石英的退火研究表明,石英的退火溫度高于反轉溫度。結構退火的活化能為0.75eV。
石英的除氣是另一種可能的老化機制,其大小未知。雖然大量的信息可在玻璃的SiO的釋氣特性2,對除氣特性沒有報告一個發現石英。據推測,由于所有材料都會在一定程度上排出氣體,因此a-quartz也是如此。另一個未知數是石英中的雜質在正常工作溫度下擴散到位錯和表面的程度。已知石英含有易于擴散的雜質。存在于最高濃度的雜質是氫。天然和培養的石英都含有氫,其量相對于Si為200ppm至2500ppm(3ppm至42ppm重量)。
擴散效應:
盡管擴散過程很可能導致諧振器老化,但很少有作者報道了擴散過程中的衰老分析[4,68]。在電極和石英之間,石英本身內以及安裝和電氣附件中可以發生固-固擴散過程;氣固擴散過程可以是在諧振器表面發生的一些過程的速率確定步驟。另一種可想到的老化機制是石英中的雜質擴散到位錯和表面。
各向同性介質中簡單擴散控制過程的速率由給出:
速率=-D*濃度梯度
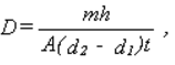
其中D是擴散常數:

m是擴散材料的質量,h是發生擴散的板坯的厚度,A是參與擴散的區域,d2和d1是擴散的濃度(每單位體積的質量)板坯兩側的材料。
表I顯示了常溫下常用作諧振器中電極或附件的一些金屬在室溫下的擴散常數:

這個簡短的表格顯示,石英晶振供應商可能感興趣的擴散速率根據擴散所涉及的金屬的數量級而變化。石英晶格中點缺陷的運動具有0.03eV至0.154eV的能量和活化能。盡管這些活化能量與觀察到的老化活化能量大小相似,但直接比較的有效性尚未確定。
擴散過程通常具有近似功率對時間的依賴性,功率約為0.5。對于某些擴散配置,擴散速率方程還包含指數時間因子。擴散速率通常是熱激活的,Arrhenius依賴于溫度。Cu進入Al的活化能(33.9千卡/摩爾)似乎高于大多數報道的老化活化能。然而,Ag向Ag的晶界擴散的活化能為21.5千卡/摩爾,這并不比報道的老化活化能高。
諧振器中的應變/應力:
施加在AT和SC板周邊的徑向力使頻率發生偏移。由于安裝夾和粘接材料施加到晶體晶片上的力很難控制并且可能隨時間改變(即松弛),因此石英晶體諧振器老化在某種程度上取決于安裝座的類型,材料和位置,關于晶體取向,以及真實諧振器中的設計偏離。當粘合過程在高溫下進行時,該結構可能在高于諧振器正常工作溫度的溫度下處于平衡狀態。在這種情況下,結構中各種材料的熱膨脹系數的不匹配將引起應力引起的頻移。當這些應力隨時間變化時,會導致老化。粘接材料,例如銀填充的環氧樹脂和聚酰亞胺,在固化時改變尺寸。這導致進一步的壓力變化。夾子成形和焊接操作產生殘余應力,其也經受應力消除。
X射線形貌可用于證明由特定安裝夾結構引起的應變。如果菌株隨時間變化,可能導致老化。AT切割石英晶片的線性膨脹的徑向和切向熱系數取決于方向。晶體板和安裝結構(包括外殼基座)之間的熱膨脹系數差異通常不僅導致晶體板上的徑向應力,而且導致切向(即扭轉)應力。石英晶體結構設計必須考慮諧振器組件的各個部件之間的熱膨脹系數的差異,以最小化施加到諧振器的溫度相關應力。
由于應力是不可避免的,因此在低老化諧振器的安裝結構中使用的材料應該非??焖俚鼗蚍浅>徛赝嘶穑?,完全柔軟或完全彈性。非常快速退火的材料通常不是可行的選擇,因為這種材料通常在沖擊和振動下導致不可接受的行為。已經開發出幾乎無應力的安裝結構。
在恒定應力下材料的緩慢和漸進變形稱為蠕變。在金屬,玻璃,聚合物甚至單晶中觀察到蠕變。金屬通常在溫度大于0.4顯示出蠕變米,其中T米是開爾文的金屬熔點。蠕變速率,特別是在無定形材料中,以及有機材料,例如通常用于粘合晶體的環氧樹脂,對溫度高度敏感。已經開發了許多合金用于高抗應力消除,用于電連接器和其他彈簧應用。由這種合金制成的安裝夾可以用于最小化由于安裝結構中的應力消除導致的老化,如使用精心定向的石英用于安裝和外殼的設計。
由給定量的應力釋放產生的老化量是安裝夾相對于石英板的晶軸的取向和應力類型的函數。對于面內直徑力,已發現力-頻率系數Kf與方位角y對于所有常用切割具有零,例如AT切割和SC切割。因此,可以得出結論,通過將晶體安裝在Kf=0處,可以消除由于安裝夾中的應力消除引起的老化。不幸的是,由于安裝結構中的應力消除,很難完全消除老化,因為:1)方位角,其中Kf=0的溫度的功能,從而使安裝點方位將必須是對于不同的營業額的溫度諧振器不同,2)ÿ其中粘合應力的效果是零是從不同ÿ其中K個-F=0,至少對于AT切割,已經報告了粘接應力效應的唯一切口,以及3)由于安裝夾子產生的力通常不是純粹的面內直徑力。對于三點和四點安裝的石英水晶振子尤其如此,因為由于石英的熱膨脹系數是高度各向異性的,而典型封裝基座的熱膨脹系數是各向同性的,因此熱膨脹系數不匹配引起的力將具有切向分量。在兩點安裝的諧振器中,基座的熱膨脹除了面內直徑力之外還施加扭轉力。
即使安裝應力可以忽略不計,單獨的粘接應力也會引起顯著的頻率偏移,退火后會導致老化。頻率的溫度系數也會隨著應力的大變化而變化。在這些情況下,測量溫度系數以及老化可用于確定應力消除是否是顯著的老化機制。
電路老化和其他電老化:
振蕩器電路包括可能發生變化的電氣元件。這些元素決定了一些重要的操作因素,例如諧振器負載電抗,直流偏置和驅動電平。這些電氣元件和因素的變化導致振蕩器老化。
由于電引線的運動引起的雜散電抗變化以及電路板和外殼壁的逐漸變形也產生頻率變化。例如,在22MHz基波模式AT切割貼片晶振中,引線長度變化為0.005mm會導致頻率變化為1X10-9[6],負載電容老化每天1ppm會導致振蕩器老化零件1010每天。由于濕度和溫度的影響,電容器會老化;例如,濕度可以改變電容器和電路板的介電常數和損耗因數。電感器因其不穩定性而臭名昭著;例如,電感器的繞組可以拉伸和移動,尤其是在溫度變化期間。在一項研究中,各種類型的電容器老化3ppm/天至70ppm/天,2μH線圈定制纏繞在酚醛形式(高穩定性),年齡為2ppm/天。放大器和變容二極管也可以隨時間變化。驅動電平變化可能導致頻率變化大約為每個ma210-7。通過密封振蕩器以最小化由于濕度和大氣壓力變化引起的頻率不穩定性,通常可以獲得中長期穩定性的顯著改善。
如先前在“電極效應”部分中所述,諧振器的電極之間的DC電壓可以顯著增加諧振器的初始老化,可能是由于電場驅動的雜質和電極的擴散。振蕩器設計人員經常設計電路(有時無意中)在電極上放置一個小的直流電壓。當檢查來自幾個制造商的高穩定性溫補晶振時,發現直流電壓范圍從幾分之一伏到約四伏。通過將電容器串聯放置并將幾兆歐電阻器與諧振器并聯,可以很容易地將直流電壓效應最小化,而不會顯著降低諧振器的有效Q值。
DC電壓也可以由制造期間產生的靜電荷產生。靜電可導致高(>1kV)電壓。由于清潔石英的表面電阻率高,“靜電”電荷可能需要很長時間才能衰減。這可能導致(初始)老化,特別是在雙旋轉晶體中,例如SC切割,其可以具有每伏10-9的部件的靈敏度??梢允褂帽娝苤撵o態(“ESD”)控制措施來最小化該問題。
在OCXO晶振中,溫度控制電路的老化會改變烤箱的設定點,從而導致老化。給定設定點變化的老化量取決于諧振器的頻率與溫度特性,并且對于典型的SC切割OCXO通常比AT切割的OCXO要小得多[84]。
石英的變化:
由于應力或其他原因導致的石英變化可能導致老化,盡管在文獻中沒有關于這種變化的報告(在正常溫度和壓力下)。預計完美的石英不會隨時間變化(根據定義)??赡馨l生變化的缺陷包括表面和點缺陷,位錯,雜質,夾雜物和孿晶。表面缺陷,例如通過研磨產生的微裂紋,可以隨時間變化,然而,通過在機械處理之后適當地蝕刻表面,可以大大減少變化的可能性。
由于應力引起的位錯運動不太可能是典型工作溫度下老化的一個因素,盡管位錯運動可能在高溫和高壓下發生。即使在通常遠遠超過Oscillator正常工作溫度的掃描實驗中,也沒有報告過位錯運動的證據。退火由于中子輻射引起的石英損壞所需的能量可能是移動位錯所需能量的線索。當用快中子照射石英時,發生位移損壞。在高劑量下,石英逐漸變成無定形形式的無序狀態。對中子受損石英的退火研究表明,石英的退火溫度高于反轉溫度。結構退火的活化能為0.75eV。
石英的除氣是另一種可能的老化機制,其大小未知。雖然大量的信息可在玻璃的SiO的釋氣特性2,對除氣特性沒有報告一個發現石英。據推測,由于所有材料都會在一定程度上排出氣體,因此a-quartz也是如此。另一個未知數是石英中的雜質在正常工作溫度下擴散到位錯和表面的程度。已知石英含有易于擴散的雜質。存在于最高濃度的雜質是氫。天然和培養的石英都含有氫,其量相對于Si為200ppm至2500ppm(3ppm至42ppm重量)。
擴散效應:
盡管擴散過程很可能導致諧振器老化,但很少有作者報道了擴散過程中的衰老分析[4,68]。在電極和石英之間,石英本身內以及安裝和電氣附件中可以發生固-固擴散過程;氣固擴散過程可以是在諧振器表面發生的一些過程的速率確定步驟。另一種可想到的老化機制是石英中的雜質擴散到位錯和表面。
各向同性介質中簡單擴散控制過程的速率由給出:
速率=-D*濃度梯度
其中D是擴散常數:

m是擴散材料的質量,h是發生擴散的板坯的厚度,A是參與擴散的區域,d2和d1是擴散的濃度(每單位體積的質量)板坯兩側的材料。
表I顯示了常溫下常用作諧振器中電極或附件的一些金屬在室溫下的擴散常數:

這個簡短的表格顯示,石英晶振供應商可能感興趣的擴散速率根據擴散所涉及的金屬的數量級而變化。石英晶格中點缺陷的運動具有0.03eV至0.154eV的能量和活化能。盡管這些活化能量與觀察到的老化活化能量大小相似,但直接比較的有效性尚未確定。
擴散過程通常具有近似功率對時間的依賴性,功率約為0.5。對于某些擴散配置,擴散速率方程還包含指數時間因子。擴散速率通常是熱激活的,Arrhenius依賴于溫度。Cu進入Al的活化能(33.9千卡/摩爾)似乎高于大多數報道的老化活化能。然而,Ag向Ag的晶界擴散的活化能為21.5千卡/摩爾,這并不比報道的老化活化能高。
諧振器中的應變/應力:
施加在AT和SC板周邊的徑向力使頻率發生偏移。由于安裝夾和粘接材料施加到晶體晶片上的力很難控制并且可能隨時間改變(即松弛),因此石英晶體諧振器老化在某種程度上取決于安裝座的類型,材料和位置,關于晶體取向,以及真實諧振器中的設計偏離。當粘合過程在高溫下進行時,該結構可能在高于諧振器正常工作溫度的溫度下處于平衡狀態。在這種情況下,結構中各種材料的熱膨脹系數的不匹配將引起應力引起的頻移。當這些應力隨時間變化時,會導致老化。粘接材料,例如銀填充的環氧樹脂和聚酰亞胺,在固化時改變尺寸。這導致進一步的壓力變化。夾子成形和焊接操作產生殘余應力,其也經受應力消除。
X射線形貌可用于證明由特定安裝夾結構引起的應變。如果菌株隨時間變化,可能導致老化。AT切割石英晶片的線性膨脹的徑向和切向熱系數取決于方向。晶體板和安裝結構(包括外殼基座)之間的熱膨脹系數差異通常不僅導致晶體板上的徑向應力,而且導致切向(即扭轉)應力。石英晶體結構設計必須考慮諧振器組件的各個部件之間的熱膨脹系數的差異,以最小化施加到諧振器的溫度相關應力。
由于應力是不可避免的,因此在低老化諧振器的安裝結構中使用的材料應該非??焖俚鼗蚍浅>徛赝嘶穑?,完全柔軟或完全彈性。非常快速退火的材料通常不是可行的選擇,因為這種材料通常在沖擊和振動下導致不可接受的行為。已經開發出幾乎無應力的安裝結構。
在恒定應力下材料的緩慢和漸進變形稱為蠕變。在金屬,玻璃,聚合物甚至單晶中觀察到蠕變。金屬通常在溫度大于0.4顯示出蠕變米,其中T米是開爾文的金屬熔點。蠕變速率,特別是在無定形材料中,以及有機材料,例如通常用于粘合晶體的環氧樹脂,對溫度高度敏感。已經開發了許多合金用于高抗應力消除,用于電連接器和其他彈簧應用。由這種合金制成的安裝夾可以用于最小化由于安裝結構中的應力消除導致的老化,如使用精心定向的石英用于安裝和外殼的設計。
由給定量的應力釋放產生的老化量是安裝夾相對于石英板的晶軸的取向和應力類型的函數。對于面內直徑力,已發現力-頻率系數Kf與方位角y對于所有常用切割具有零,例如AT切割和SC切割。因此,可以得出結論,通過將晶體安裝在Kf=0處,可以消除由于安裝夾中的應力消除引起的老化。不幸的是,由于安裝結構中的應力消除,很難完全消除老化,因為:1)方位角,其中Kf=0的溫度的功能,從而使安裝點方位將必須是對于不同的營業額的溫度諧振器不同,2)ÿ其中粘合應力的效果是零是從不同ÿ其中K個-F=0,至少對于AT切割,已經報告了粘接應力效應的唯一切口,以及3)由于安裝夾子產生的力通常不是純粹的面內直徑力。對于三點和四點安裝的石英水晶振子尤其如此,因為由于石英的熱膨脹系數是高度各向異性的,而典型封裝基座的熱膨脹系數是各向同性的,因此熱膨脹系數不匹配引起的力將具有切向分量。在兩點安裝的諧振器中,基座的熱膨脹除了面內直徑力之外還施加扭轉力。
即使安裝應力可以忽略不計,單獨的粘接應力也會引起顯著的頻率偏移,退火后會導致老化。頻率的溫度系數也會隨著應力的大變化而變化。在這些情況下,測量溫度系數以及老化可用于確定應力消除是否是顯著的老化機制。
電路老化和其他電老化:
振蕩器電路包括可能發生變化的電氣元件。這些元素決定了一些重要的操作因素,例如諧振器負載電抗,直流偏置和驅動電平。這些電氣元件和因素的變化導致振蕩器老化。
由于電引線的運動引起的雜散電抗變化以及電路板和外殼壁的逐漸變形也產生頻率變化。例如,在22MHz基波模式AT切割貼片晶振中,引線長度變化為0.005mm會導致頻率變化為1X10-9[6],負載電容老化每天1ppm會導致振蕩器老化零件1010每天。由于濕度和溫度的影響,電容器會老化;例如,濕度可以改變電容器和電路板的介電常數和損耗因數。電感器因其不穩定性而臭名昭著;例如,電感器的繞組可以拉伸和移動,尤其是在溫度變化期間。在一項研究中,各種類型的電容器老化3ppm/天至70ppm/天,2μH線圈定制纏繞在酚醛形式(高穩定性),年齡為2ppm/天。放大器和變容二極管也可以隨時間變化。驅動電平變化可能導致頻率變化大約為每個ma210-7。通過密封振蕩器以最小化由于濕度和大氣壓力變化引起的頻率不穩定性,通常可以獲得中長期穩定性的顯著改善。
如先前在“電極效應”部分中所述,諧振器的電極之間的DC電壓可以顯著增加諧振器的初始老化,可能是由于電場驅動的雜質和電極的擴散。振蕩器設計人員經常設計電路(有時無意中)在電極上放置一個小的直流電壓。當檢查來自幾個制造商的高穩定性溫補晶振時,發現直流電壓范圍從幾分之一伏到約四伏。通過將電容器串聯放置并將幾兆歐電阻器與諧振器并聯,可以很容易地將直流電壓效應最小化,而不會顯著降低諧振器的有效Q值。
DC電壓也可以由制造期間產生的靜電荷產生。靜電可導致高(>1kV)電壓。由于清潔石英的表面電阻率高,“靜電”電荷可能需要很長時間才能衰減。這可能導致(初始)老化,特別是在雙旋轉晶體中,例如SC切割,其可以具有每伏10-9的部件的靈敏度??梢允褂帽娝苤撵o態(“ESD”)控制措施來最小化該問題。
在OCXO晶振中,溫度控制電路的老化會改變烤箱的設定點,從而導致老化。給定設定點變化的老化量取決于諧振器的頻率與溫度特性,并且對于典型的SC切割OCXO通常比AT切割的OCXO要小得多[84]。
正在載入評論數據...
相關資訊
- [2025-09-03]Greenray格林雷晶振T1254系列具...
- [2025-09-01]壓電執行器被用于衛星微推進器以...
- [2025-09-01]探索主動阻尼的加速度感測技術用...
- [2025-08-26]使用振蕩器和時鐘發生器整合頻率...
- [2025-08-26]Vectron維管晶振的國防振蕩器在...
- [2024-03-15]Cardinal晶振常見問題CX5Z-A2B2...
- [2024-03-04]Jauch的40MHz的石英毛坯有多厚?...
- [2023-09-21]Skyworks領先同行的綠色生產標準...


業務經理
客服經理