石英諧振器不需要響應和偽模式
來源:http://www.dkfv.cn 作者:金洛鑫電子 2019年02月28
石英諧振器是一種以石英和水晶為原材料的電子元器件產品,屬于頻率控制元件分類,在成千上萬種電子零件中,晶體的“顏值”算是比較高的,有黑色陶瓷封裝和金屬面封裝兩種外觀。好看是好看,但晶振并不是“花瓶”,它的作用是非常大的,因為體積小所以精細,制造技術和加工工藝要求高。生產一顆完整的石英晶體至少需要30多道工序,還有十幾種不同的檢測項目。以下內容是KVG晶振公司,為海內外用戶提供的晶體響應和偽模式相關技術資料,金洛鑫電子整理出來了分享給大家。
所有晶體諧振器都為每個泛音產生一種主要模式,即主要模式,即厚度剪切振動以及不需要的響應,其是在諧振頻率之上的非諧振厚度剪切模式。
除了常用的厚度剪切C模式之外,還存在另一種稱為B模式的厚度剪切模式。它具有比C模式更高的頻率和通常更低的運動阻力,但具有更大的溫度系數。有時需要過濾此模式以使振蕩器在C模式下工作。另外不需要的模式是剪切,彎曲,厚度和扭曲振動,它們可以出現在所需的共振頻率之上和之下。通過正確的OSC晶振設計,不需要的模式很少會引接近諧振頻率的不需要的模式會影響振蕩器的啟動行為,或導致在運行期間轉換到錯誤的頻率。
其他不希望的影響是由不需要的模式引起的頻率和電阻隨溫度下降。
雜散模式通常被指定為非諧振模式的諧振電阻與主模式電阻的比率.KVG Crystal必須具有關于測試電路(例如,π網絡或測量電橋)的詳細信息以及關于寄生模式的頻率范圍。
C1:運動電容(代表機械彈性)
L1:運動電感(代表機械慣性)
R1:運動阻力(代表機械損失)
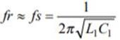
圖3顯示了諧振周圍的振幅和相位與頻率的響應。共振頻率由下式給出:


圖3:共振和相位曲線
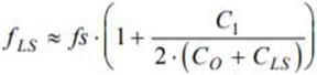
負載電容與晶體串聯或并聯,諧振頻率根據以下方式移動:

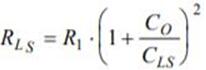
并且共振的阻力變為:


圖4:串聯負載電容

圖5:并聯負載電容
AT和SC切割晶體的溫度特性由三階拋物線描述。然后可以描述頻率的相對變化:

同△T=T-Ti和Ti是拐點溫度。 石英諧振器算是一種比較典型的頻率元件,在這個行業里,比起其他的聲表面諧振器,聲表面濾波器,霧化片等都常見,而且用量是最大的,大部分產品內部電路板上都要用石英晶振或陶瓷晶振。金洛鑫電子是這個領域的行家,擁有自主研發生產的能力,也可以為客戶提供歐美晶振品牌的原裝正品!
所有晶體諧振器都為每個泛音產生一種主要模式,即主要模式,即厚度剪切振動以及不需要的響應,其是在諧振頻率之上的非諧振厚度剪切模式。
除了常用的厚度剪切C模式之外,還存在另一種稱為B模式的厚度剪切模式。它具有比C模式更高的頻率和通常更低的運動阻力,但具有更大的溫度系數。有時需要過濾此模式以使振蕩器在C模式下工作。另外不需要的模式是剪切,彎曲,厚度和扭曲振動,它們可以出現在所需的共振頻率之上和之下。通過正確的OSC晶振設計,不需要的模式很少會引接近諧振頻率的不需要的模式會影響振蕩器的啟動行為,或導致在運行期間轉換到錯誤的頻率。
其他不希望的影響是由不需要的模式引起的頻率和電阻隨溫度下降。
雜散模式通常被指定為非諧振模式的諧振電阻與主模式電阻的比率.KVG Crystal必須具有關于測試電路(例如,π網絡或測量電橋)的詳細信息以及關于寄生模式的頻率范圍。
圖1.第三泛音上的SC切諧振器的非諧波
等效電路在諧振頻率附近,晶體單元由電氣雙極表示:

圖2.等效電路
CO:并聯電容(電極,晶體支架,引線和外殼之間的電容)C1:運動電容(代表機械彈性)
L1:運動電感(代表機械慣性)
R1:運動阻力(代表機械損失)
圖3顯示了諧振周圍的振幅和相位與頻率的響應。共振頻率由下式給出:


圖3:共振和相位曲線
負載電容與晶體串聯或并聯,諧振頻率根據以下方式移動:

并且共振的阻力變為:


圖4:串聯負載電容

圖5:并聯負載電容
AT和SC切割晶體的溫度特性由三階拋物線描述。然后可以描述頻率的相對變化:

同△T=T-Ti和Ti是拐點溫度。 石英諧振器算是一種比較典型的頻率元件,在這個行業里,比起其他的聲表面諧振器,聲表面濾波器,霧化片等都常見,而且用量是最大的,大部分產品內部電路板上都要用石英晶振或陶瓷晶振。金洛鑫電子是這個領域的行家,擁有自主研發生產的能力,也可以為客戶提供歐美晶振品牌的原裝正品!
正在載入評論數據...
相關資訊
- [2025-08-29]CTS致力于成為技術的前沿提供創...
- [2025-08-29]Diodes宣布推出一款智能48通道L...
- [2025-08-25]Rakon瑞康為什么應該放棄標準CO...
- [2025-08-25]Transko特蘭斯科推出了結合MEMS...
- [2025-08-23]SiT5503超精密溫度補償晶體振蕩...
- [2025-08-23]探索SiTime專為導航航空航天和國...
- [2024-04-11]CTECH濾波器型號數據列表CLB75P...
- [2024-03-18]Statek晶振產品應用CX20SCSM1-1...




業務經理
客服經理