深度探討Oscillator的短期穩定性
來源:http://www.dkfv.cn 作者:金洛鑫電子 2020年04月15
深度探討Oscillator的短期穩定性
在采購進口晶體振蕩器時,很多人都會考慮到頻率穩定性,這是有源系列比較重要的參數指標,單位是ppm,一般我們叫做精度或者精確度等.振蕩器還有另一項電氣特性,叫做短期穩定性,很多人并不了解這一參數,而且與頻率穩定性的意義相差比較大,它主要是指有源晶振的相位噪聲和調頻噪聲,本文的主要目的就是給大家深入的講解,什么是振蕩器的短期穩定性,內含公式和技術圖,內容較長需要一些耐心,有任何問題都可以聯系金洛鑫電子.
先前假設振蕩器的輸出信號是一定頻率的信號.嚴格來說,它由一個復雜的頻譜組成,其統計平均值稱為振蕩器頻率f0. 短期頻率穩定性是指這些短期統計頻率波動,這些波動發生在幾分之一秒到幾分之一秒的間隔內.根據應用,可以在時域或頻域中指定短期穩定性.在時域中,頻率或周期持續時間的波動是測量時間(平均時間)的函數.短期穩定性在這里表示為Allan方差F2y作為平均時間J的函數.在頻率范圍內,短期穩定性指定為相位噪聲或調頻噪聲,即:
SN(f)”rad2/Hz›=相位噪聲的頻譜密度
SY(f)”Hz-1›=頻率波動的頻譜密度
‹(F)”dBC/Hz›=與載波有關的單邊帶功率密度
如果調相沖程非常小,則關系為:
數學上,具有噪聲的信號表示為:
我們在這里僅考慮相位(頻率)波動的一部分:
統計分布的形式在很大程度上取決于噪聲的來源.石英振蕩器的典型噪聲頻譜(圖7.2)可以想象如下:從均勻的白噪聲帶開始,放大噪聲的積累在振蕩器頻率f0附近上升,這主要取決于振蕩器組件的噪聲特性.這包括石英晶體振蕩器放大器的噪聲(散粒噪聲)以及反饋網絡的熱噪聲.
振蕩器的2S峰值輸出功率
包括帶有自己噪聲源的振動石英.fc平均值周圍的有限線寬最終由石英所確定的頻率決定.單個噪聲源和振蕩級的相互作用非常復雜,但可以用Leeson模型進行相當好的計算估計.
時間范圍內的短期穩定性:
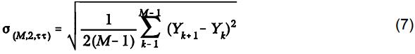
作為時間范圍內短期穩定性的測量指標,給出了頻率隨測量時間的變化.測量時間可以是納秒、毫秒或幾秒鐘.根據測量時間j,短期穩定性通常以表格或圖表的形式表示(圖5).短期穩定性的測量是測量頻率波動的方差.當用頻率計測量頻率時,測量時間j是計數器采樣時間(減去總時間).因此,顯示的值是整個測量時間J上頻率的平均值.測量值k與平均值f0的偏差為:
通過足夠多的N次測量,可以將頻率波動的方差F2指定為1):
其中包括:
與相同頻率fo的參考振蕩器相比,方便地獲得了用于確定短期穩定性的測量值.對于評估,無論測量的頻率偏差,周期變化還是相位波動都沒有關系,它們在數學上是牢固地聯系在一起的.將它們放在攪拌機上.如果除波動之外兩個振蕩器的頻率完全相同,我們可以直接在混頻器的輸出端獲得振蕩器的頻率的波動f,經過低通濾波器后,可以直接通過計數器確定這些頻率波動.如果測量時間之間的停滯時間可以忽略不計(采樣時間的10%),則計數器的采樣時間就是測量時間J.
根據等式,從f個測量(N個測量)中進行.5方差最好由下游計算機計算并打印出來.但是,如果兩個晶振的頻率由于長期的頻率變化而漂移,則存在問題.大多數情況下都是這樣.因此,標準差不是由與Y0相關的測量值形成,而是由兩次連續測量的平均值形成,然后基于Allan方差進行評估.
M=測量值的數目
示例:
我們使用采樣速率J=1s立即連續執行10次頻率比較測量Y=)f/f0=(f2-f1)/f0. 可以從具有不同采樣時間的幾次測量中執行相同的評估.評估得出的圖形如上圖所示,當然,要獲得可重復的值,需要進行10次以上的測量.
頻域的短期穩定性:
相位噪聲是在頻域中振蕩器的短期頻率穩定性的量度.相位噪聲產生與中心振蕩器頻率fo對稱的邊帶頻譜.由于這種對稱性,評估兩個邊帶之一就足夠了.
SN(f)函數描述”頻率范圍內的相位噪聲”.相位波動Sn(f)的頻譜密度與頻率波動的頻譜密度直接相關:
f=傅立葉頻率或基帶頻率(邊帶頻率).
載波相關功率密度
如圖上圖所示.在fo中,我們有兩個邊帶的載波,從fo到f-4以及fo到f+4的傅立葉頻率.在f中以1Hz的帶寬測量的噪聲功率與載波功率有關,即與載波有關的功率密度.當使用較大的帶寬進行測量時,功率密度必須轉換為1Hz的帶寬,具有相對強相位噪聲的信號源的噪聲可以直接通過頻譜分析儀進行測量.該方法的缺點是不能區分幅度和相位(頻率)噪聲.由于分析儀的中頻帶寬,無法在靠近載波的位置測量相位噪聲和測量裝置.在石英振蕩器中,相位噪聲非常低,導致該方法失敗了;更靈敏的方法是相位檢測器方法,此處,將要測試的振蕩器1和參考有源貼片晶振的輸出信號施加到正交混頻器的輸入(相位差為90/).
(圖13).用低通濾波器濾除混頻器中出現的總頻率2f0.設計濾波器時,要測量的基帶在通帶內.在此低通之后,我們得到兩個振蕩器的差頻f=0Hz,具有相等的頻率和兩個振蕩器的組合相位噪聲.
考慮到系統的校準常數以及對帶寬1Hz的轉換,我們直接在下游NF頻譜分析儀上獲得了基帶Sv(f)中的噪聲電壓.校準鑒相器時,請確保輸出電壓包含兩個邊帶,但根據定義,僅評估一個邊帶的噪聲(減少6dB).如果沒有低噪聲比較振蕩器,則可以使用等于要檢查的振蕩器的振蕩器.假設噪聲行為相同,則測得的噪聲功率將增加%2@.應從評估中減去3dB.為了在測量過程中將兩個振蕩器保持正交狀態(90/相位差),一個振蕩器的頻率(相位)可通過控制回路進行調整.該控制回路包含一個低通濾波器,可防止要測量的噪聲分量被同步掉.當兩個振蕩器之一失諧時,從輸出電壓獲得鑒相器的校準常數KN.校準常數取決于鑒別器斜率.
相位噪聲的性質:
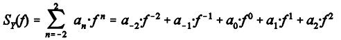
如果一個人在測得的曲線上畫出幾條直線,然后以雙對數刻度依次繪制它們,則可以推斷出噪聲的性質.從頻域到時域的轉換相對頻率波動Sy(f)的頻譜功率密度可以通過冪級數來描述,在此限制為5個項:
on是強度系數.n是雙對數標度上噪聲曲線的直線部分的斜率.指示噪聲類型的性質.這些系數是各個噪聲類型的特征,假設上截止頻率為fh(Th=2Bfh),則可以使用下表中的轉換公式轉換功率序列SY(f)的各個區域.
結果,當今常用的標準測量方法主要提供與載波功率有關的單邊帶相位噪聲[f].在高度穩定的振蕩器的應用中,例如但是,在多普勒雷達或GPS應用中,在時域中指定短期穩定性更有意義.通常需要將ã(f)轉換為F(J).
相位噪聲分析:
Leeson模型+4,+5可用于描述和分析相位噪聲,它可以完整表示相位噪聲的影響變量/十年(-f-3)是由石英諧振器引起的.相位噪聲與1/Q2成正比,這就是為什么相對于石英質量Q(石英的閑置質量)而言,盡可能高的工作質量QB非常重要的原因.如果需要,必須對石英進行優化或選擇,在質量帶寬的一半以外的區域,相位噪聲由振蕩器電路確定.還有來自穩壓器的噪聲和工作電壓的低頻阻塞,噪聲本底受到25/C時-174dBm/1Hz的熱噪聲本底的限制,如果將頻率乘以N,則相位噪聲將增加20lgN(dB)在Leeson模型中由公式(公式14)描述. 當石英振蕩器的反饋回路分離時,振蕩器電路由放大器和石英諧振器組成.對于該電路(圖7.10A),我們發現靠近載波的1/f噪聲(閃爍噪聲).1/f噪聲被頻率為f“的白噪聲掩蓋.白噪聲取決于增益G(在放大器的輸出功率P0上找到的噪聲系數).當反饋環路關閉時(圖7.10B),1/f范圍轉換為1/f3行為,這還會創建一個具有/f2特性的過渡范圍,直到質量帶寬µ1/2/2QB=fJ的一半的頻率為止.白噪聲仍保持在頻率fJ之外.相位波動SN(f)的整體特性可以使用Leeson公式描述:
設計注意事項:
對于相位噪聲低的振蕩器,石英負載應相對較高.這與良好的長期穩定性相矛盾.較好的折衷方案通常是在100至500:W左右的石英負載.對于石英振蕩器,不應使用具有高直流增益hFE和低基極電阻rbb的晶體管,且傳輸頻率不能過高.由于相位噪聲在載波周圍的頻率間隔為幾赫茲到幾千赫茲,因此晶體管噪聲的低頻范圍至關重要.因此,具有足夠高的轉換頻率($5@f0)的低噪聲,低頻晶體管比RF晶體管更適合.在雙極晶體管中,噪聲主要由基極-發射極路徑決定.
PNP晶體管通常比NPN晶體管具有更低的噪聲.MOSFET噪聲非常強,在較低頻率下,1/f噪聲占主導地位,與雙極晶體管和MOSFET晶體管相比,結FET噪聲最少.GaAs-FET在高工作頻率下噪聲低,但在低頻范圍內噪聲很大.簡單的SPXO晶體振蕩器級通常具有兩個功能:第一,放大以激發振動并保持反饋條件的功能;第二,通過減小高振幅(飽和)的放大來限制最大振幅.
由于限制器功能,晶體管的工作點以及反饋支路中可能還有其他幅度相關組件會發生變化.由于非線性限制,與純正弦波振蕩相比,相位位置會不斷變化,并且由于阻抗的非線性,乘法混頻(調制)會引起邊帶噪聲.為了避免限制失真,必須將振蕩器放大器和振幅限制這兩個功能分開(外部限制).此外,有源級應具有強大的RF負反饋,以確保較大的線性動態范圍.
必須注意確保振蕩器范圍內的RF幅度不超出所涉及組件的線性范圍通常可以在電路中更好地調節較高的諧振電阻.在對高質量的需求下,這導致較小的動態電容C1,這通常是由泛音石英晶振實現的.
深度探討Oscillator的短期穩定性
在采購進口晶體振蕩器時,很多人都會考慮到頻率穩定性,這是有源系列比較重要的參數指標,單位是ppm,一般我們叫做精度或者精確度等.振蕩器還有另一項電氣特性,叫做短期穩定性,很多人并不了解這一參數,而且與頻率穩定性的意義相差比較大,它主要是指有源晶振的相位噪聲和調頻噪聲,本文的主要目的就是給大家深入的講解,什么是振蕩器的短期穩定性,內含公式和技術圖,內容較長需要一些耐心,有任何問題都可以聯系金洛鑫電子.
先前假設振蕩器的輸出信號是一定頻率的信號.嚴格來說,它由一個復雜的頻譜組成,其統計平均值稱為振蕩器頻率f0. 短期頻率穩定性是指這些短期統計頻率波動,這些波動發生在幾分之一秒到幾分之一秒的間隔內.根據應用,可以在時域或頻域中指定短期穩定性.在時域中,頻率或周期持續時間的波動是測量時間(平均時間)的函數.短期穩定性在這里表示為Allan方差F2y作為平均時間J的函數.在頻率范圍內,短期穩定性指定為相位噪聲或調頻噪聲,即:
SN(f)”rad2/Hz›=相位噪聲的頻譜密度
SY(f)”Hz-1›=頻率波動的頻譜密度
‹(F)”dBC/Hz›=與載波有關的單邊帶功率密度
如果調相沖程非常小,則關系為:
數學上,具有噪聲的信號表示為:
我們在這里僅考慮相位(頻率)波動的一部分:
統計分布的形式在很大程度上取決于噪聲的來源.石英振蕩器的典型噪聲頻譜(圖7.2)可以想象如下:從均勻的白噪聲帶開始,放大噪聲的積累在振蕩器頻率f0附近上升,這主要取決于振蕩器組件的噪聲特性.這包括石英晶體振蕩器放大器的噪聲(散粒噪聲)以及反饋網絡的熱噪聲.
振蕩器的2S峰值輸出功率
時間范圍內的短期穩定性:
作為時間范圍內短期穩定性的測量指標,給出了頻率隨測量時間的變化.測量時間可以是納秒、毫秒或幾秒鐘.根據測量時間j,短期穩定性通常以表格或圖表的形式表示(圖5).短期穩定性的測量是測量頻率波動的方差.當用頻率計測量頻率時,測量時間j是計數器采樣時間(減去總時間).因此,顯示的值是整個測量時間J上頻率的平均值.測量值k與平均值f0的偏差為:
通過足夠多的N次測量,可以將頻率波動的方差F2指定為1):
其中包括:
與相同頻率fo的參考振蕩器相比,方便地獲得了用于確定短期穩定性的測量值.對于評估,無論測量的頻率偏差,周期變化還是相位波動都沒有關系,它們在數學上是牢固地聯系在一起的.將它們放在攪拌機上.如果除波動之外兩個振蕩器的頻率完全相同,我們可以直接在混頻器的輸出端獲得振蕩器的頻率的波動f,經過低通濾波器后,可以直接通過計數器確定這些頻率波動.如果測量時間之間的停滯時間可以忽略不計(采樣時間的10%),則計數器的采樣時間就是測量時間J.
根據等式,從f個測量(N個測量)中進行.5方差最好由下游計算機計算并打印出來.但是,如果兩個晶振的頻率由于長期的頻率變化而漂移,則存在問題.大多數情況下都是這樣.因此,標準差不是由與Y0相關的測量值形成,而是由兩次連續測量的平均值形成,然后基于Allan方差進行評估.
M=測量值的數目
示例:
我們使用采樣速率J=1s立即連續執行10次頻率比較測量Y=)f/f0=(f2-f1)/f0. 可以從具有不同采樣時間的幾次測量中執行相同的評估.評估得出的圖形如上圖所示,當然,要獲得可重復的值,需要進行10次以上的測量.
頻域的短期穩定性:
相位噪聲是在頻域中振蕩器的短期頻率穩定性的量度.相位噪聲產生與中心振蕩器頻率fo對稱的邊帶頻譜.由于這種對稱性,評估兩個邊帶之一就足夠了.
SN(f)函數描述”頻率范圍內的相位噪聲”.相位波動Sn(f)的頻譜密度與頻率波動的頻譜密度直接相關:
f=傅立葉頻率或基帶頻率(邊帶頻率).
載波相關功率密度
考慮到系統的校準常數以及對帶寬1Hz的轉換,我們直接在下游NF頻譜分析儀上獲得了基帶Sv(f)中的噪聲電壓.校準鑒相器時,請確保輸出電壓包含兩個邊帶,但根據定義,僅評估一個邊帶的噪聲(減少6dB).如果沒有低噪聲比較振蕩器,則可以使用等于要檢查的振蕩器的振蕩器.假設噪聲行為相同,則測得的噪聲功率將增加%2@.應從評估中減去3dB.為了在測量過程中將兩個振蕩器保持正交狀態(90/相位差),一個振蕩器的頻率(相位)可通過控制回路進行調整.該控制回路包含一個低通濾波器,可防止要測量的噪聲分量被同步掉.當兩個振蕩器之一失諧時,從輸出電壓獲得鑒相器的校準常數KN.校準常數取決于鑒別器斜率.
相位噪聲的性質:
如果一個人在測得的曲線上畫出幾條直線,然后以雙對數刻度依次繪制它們,則可以推斷出噪聲的性質.從頻域到時域的轉換相對頻率波動Sy(f)的頻譜功率密度可以通過冪級數來描述,在此限制為5個項:
on是強度系數.n是雙對數標度上噪聲曲線的直線部分的斜率.指示噪聲類型的性質.這些系數是各個噪聲類型的特征,假設上截止頻率為fh(Th=2Bfh),則可以使用下表中的轉換公式轉換功率序列SY(f)的各個區域.
相位噪聲分析:
Leeson模型+4,+5可用于描述和分析相位噪聲,它可以完整表示相位噪聲的影響變量/十年(-f-3)是由石英諧振器引起的.相位噪聲與1/Q2成正比,這就是為什么相對于石英質量Q(石英的閑置質量)而言,盡可能高的工作質量QB非常重要的原因.如果需要,必須對石英進行優化或選擇,在質量帶寬的一半以外的區域,相位噪聲由振蕩器電路確定.還有來自穩壓器的噪聲和工作電壓的低頻阻塞,噪聲本底受到25/C時-174dBm/1Hz的熱噪聲本底的限制,如果將頻率乘以N,則相位噪聲將增加20lgN(dB)在Leeson模型中由公式(公式14)描述. 當石英振蕩器的反饋回路分離時,振蕩器電路由放大器和石英諧振器組成.對于該電路(圖7.10A),我們發現靠近載波的1/f噪聲(閃爍噪聲).1/f噪聲被頻率為f“的白噪聲掩蓋.白噪聲取決于增益G(在放大器的輸出功率P0上找到的噪聲系數).當反饋環路關閉時(圖7.10B),1/f范圍轉換為1/f3行為,這還會創建一個具有/f2特性的過渡范圍,直到質量帶寬µ1/2/2QB=fJ的一半的頻率為止.白噪聲仍保持在頻率fJ之外.相位波動SN(f)的整體特性可以使用Leeson公式描述:
設計注意事項:
對于相位噪聲低的振蕩器,石英負載應相對較高.這與良好的長期穩定性相矛盾.較好的折衷方案通常是在100至500:W左右的石英負載.對于石英振蕩器,不應使用具有高直流增益hFE和低基極電阻rbb的晶體管,且傳輸頻率不能過高.由于相位噪聲在載波周圍的頻率間隔為幾赫茲到幾千赫茲,因此晶體管噪聲的低頻范圍至關重要.因此,具有足夠高的轉換頻率($5@f0)的低噪聲,低頻晶體管比RF晶體管更適合.在雙極晶體管中,噪聲主要由基極-發射極路徑決定.
PNP晶體管通常比NPN晶體管具有更低的噪聲.MOSFET噪聲非常強,在較低頻率下,1/f噪聲占主導地位,與雙極晶體管和MOSFET晶體管相比,結FET噪聲最少.GaAs-FET在高工作頻率下噪聲低,但在低頻范圍內噪聲很大.簡單的SPXO晶體振蕩器級通常具有兩個功能:第一,放大以激發振動并保持反饋條件的功能;第二,通過減小高振幅(飽和)的放大來限制最大振幅.
由于限制器功能,晶體管的工作點以及反饋支路中可能還有其他幅度相關組件會發生變化.由于非線性限制,與純正弦波振蕩相比,相位位置會不斷變化,并且由于阻抗的非線性,乘法混頻(調制)會引起邊帶噪聲.為了避免限制失真,必須將振蕩器放大器和振幅限制這兩個功能分開(外部限制).此外,有源級應具有強大的RF負反饋,以確保較大的線性動態范圍.
必須注意確保振蕩器范圍內的RF幅度不超出所涉及組件的線性范圍通常可以在電路中更好地調節較高的諧振電阻.在對高質量的需求下,這導致較小的動態電容C1,這通常是由泛音石英晶振實現的.
深度探討Oscillator的短期穩定性
正在載入評論數據...
相關資訊
- [2025-09-03]Greenray格林雷晶振T1254系列具...
- [2025-09-01]壓電執行器被用于衛星微推進器以...
- [2025-09-01]探索主動阻尼的加速度感測技術用...
- [2025-08-26]使用振蕩器和時鐘發生器整合頻率...
- [2025-08-26]Vectron維管晶振的國防振蕩器在...
- [2024-03-15]Cardinal晶振常見問題CX5Z-A2B2...
- [2024-03-04]Jauch的40MHz的石英毛坯有多厚?...
- [2023-09-21]Skyworks領先同行的綠色生產標準...





業務經理
客服經理