EPSON石英晶體包裝規格
來源:http://www.dkfv.cn 作者:金洛鑫電子 2019年06月15
エプソン水晶デバイス公司是大家都不陌生的日本精工愛普生株式會社,國內的生產廠家每年使用的愛普生晶振達到3億顆左右,是愛普生集團重要的海外市場.EPSON主打產品就是頻率元件,因此種類比較齊全完整,SMD和DIP兩種石英晶體都有生產,而且料號達到上百款,整個晶振業界的包裝規格都差不多,但因為品牌的不同,部分會有所不同.EPSON石英晶體的包裝規格屬于比較規格標準的,所有的貼片晶振和插件晶振,都嚴格按照國際規定包裝.
1、圓筒
氣缸產品每批250到1000個裝在乙烯袋中.然后將5到20個袋圓柱晶振放在內盒中以制作很多.然后將內盒放入紙箱中以便裝運.(數量因型號而異.) 2、蘸
將浸漬晶振產品放入抗靜電IC管中并裝入盒子中以便裝運.
3、SMD
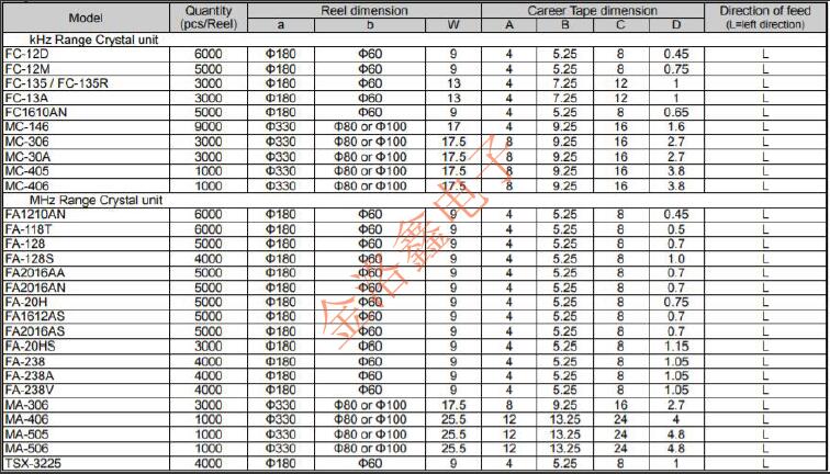
根據膠帶標準EIA-481和IEC-60286,SMD晶振產品按照下表包裝在裝運紙箱中. 每種包裝都保障了石英晶振在運輸過程中的穩固性,避免暴露在空氣中氧化,存放條件必須是四周陰涼干燥,不能靠近熱源,被陽光直射.正確的保存方法和使用方式,可以延長晶振的壽命.EPSON石英晶體的年老化率一般是±3ppm~±5ppm,要以無限使用,只有每年都會有些損耗.卷軸編帶式的包裝可支持SMT過機貼裝,購買時盡量按照包裝數量訂購,如需求數量不足包裝數量,請與供應商聯系.
推薦包裝數量和尺寸(單位:mm):
[石英晶體諧振器]
[SPXO晶體振蕩器]
[VCXO晶體振蕩器]
[TCXO晶體振蕩器]
EPSON晶振不同類型,不同型號的包裝數量也會不一樣,尺寸越大包裝數量越小,尺寸小的包裝數量越多,為了滿足世界各地的客戶不同的數量需求,愛普生每款石英晶體諧振器,晶體振蕩器料號都有兩三種不同的數量包裝.如需了解指定型號的包裝規格,歡迎聯系金洛鑫電子,我司是愛普生晶振深圳代理商,咨詢熱線:0755-27837162.
1、圓筒
氣缸產品每批250到1000個裝在乙烯袋中.然后將5到20個袋圓柱晶振放在內盒中以制作很多.然后將內盒放入紙箱中以便裝運.(數量因型號而異.) 2、蘸
將浸漬晶振產品放入抗靜電IC管中并裝入盒子中以便裝運.

根據膠帶標準EIA-481和IEC-60286,SMD晶振產品按照下表包裝在裝運紙箱中. 每種包裝都保障了石英晶振在運輸過程中的穩固性,避免暴露在空氣中氧化,存放條件必須是四周陰涼干燥,不能靠近熱源,被陽光直射.正確的保存方法和使用方式,可以延長晶振的壽命.EPSON石英晶體的年老化率一般是±3ppm~±5ppm,要以無限使用,只有每年都會有些損耗.卷軸編帶式的包裝可支持SMT過機貼裝,購買時盡量按照包裝數量訂購,如需求數量不足包裝數量,請與供應商聯系.
推薦包裝數量和尺寸(單位:mm):
[石英晶體諧振器]


正在載入評論數據...
相關資訊
- [2025-09-03]Greenray格林雷晶振T1254系列具...
- [2025-09-01]壓電執行器被用于衛星微推進器以...
- [2025-09-01]探索主動阻尼的加速度感測技術用...
- [2025-08-26]使用振蕩器和時鐘發生器整合頻率...
- [2025-08-26]Vectron維管晶振的國防振蕩器在...
- [2024-03-15]Cardinal晶振常見問題CX5Z-A2B2...
- [2024-03-04]Jauch的40MHz的石英毛坯有多厚?...
- [2023-09-21]Skyworks領先同行的綠色生產標準...






業務經理
客服經理